반응형
1. 점의 좌표 4개

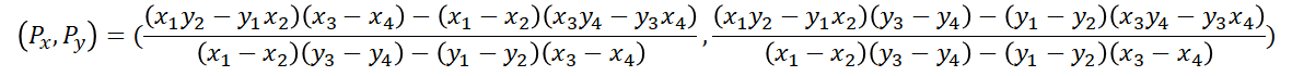
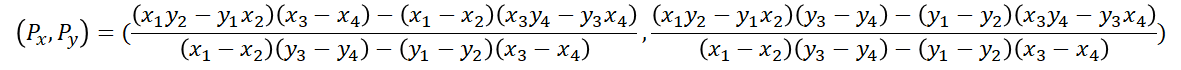
두 점 (x1, y1), (x2, y2)를 지나는 직선 A와 (x3, y3), (x4, y4)를 지나는 직선 B의 교차점 P는 다음과 같다.

또한,

이면 두 직선은 평행이거나 같은 직선이다. (교점이 없다)
2. 표준형
두 직선의 방정식이 다음과 같을 때,

교점 P는 다음과 같다.

또한,

이면 두 직선의 평행 또는 일치.
3. 일반형
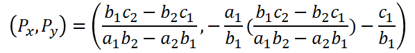
두 직선의 방정식이 다음과 같을 때,

교점 P는 다음과 같다.

또한,

이면 두 직선은 평행 또는 일치.
끝.
반응형
'수학' 카테고리의 다른 글
| 베이즈 정리 (Bayes Theorem) (0) | 2025.06.04 |
|---|---|
| [수학] 다항함수 보간법(Polynomial Interpolation) (0) | 2021.05.17 |
| [수학] 점과 직선사이의 거리 (0) | 2021.04.29 |
| [수학] 점의 회전변환(삼각함수) (2) | 2021.02.01 |
| [수학] 원 내부, 외부의 점 (0) | 2021.01.18 |