반응형
다항함수 보간법

- 주어진 점들을 지나는 다항식을 찾는 보간법이다.
- n개의 데이터들이 존재한다면, 모든 n개의 점들을 통과하는 다항식은 차수가 n-1으로서 유일한 다항식이다.

보간 다항식 구성
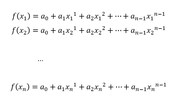
n개의 점에 대한 다항식을 풀어쓰면 다음과 같다.

위 다항식을 행렬로 표현하면 다음과 같다.

이때,

위 식이 성립되므로 각 점(x1~xn)을 통과하는 다항식을 구할 수 있다.
OpenCV Code
n개의 점을 지나는 다항식을 구하는 함수를 OpenCV로 작성해보자.
void GetPolynomialPrameters(const vector<cv::Point>& pts, vector<double>& parameters) {
int nCount = pts.size();
if (nCount < 2)
return;
// fx = ax * params
cv::Mat fx = cv::Mat::zeros(cv::Size(1, nCount), CV_64FC1);
cv::Mat params = cv::Mat::zeros(cv::Size(1, nCount), CV_64FC1);
cv::Mat ax = cv::Mat::zeros(cv::Size(nCount, nCount), CV_64FC1);
for (int i = 0; i < nCount; ++i) {
fx.at<double>(0, i) = pts[i].y;
for (int j = 0; j < nCount; ++j) {
ax.at<double>(j, i) = std::pow(pts[j].x, i);
}
}
// params = ax^-1 * fx
cv::Mat inv_ax = cv::Mat::zeros(cv::Size(nCount, nCount), CV_64FC1);
cv::invert(ax, inv_ax, cv::DECOMP_SVD);
params = inv_ax * fx;
parameters.clear();
for (int i = 0; i < nCount; ++i) {
parameters.push_back(params.at<double>(0, i));
}
return;
}
먼저 vector로 받은 각 점의 개수를 구하고 fx, params, ax를 각각 사이즈에 맞게 초기화한다.
int nCount = pts.size();
if (nCount < 2)
return;
// fx = ax * params
cv::Mat fx = cv::Mat::zeros(cv::Size(1, nCount), CV_64FC1);
cv::Mat params = cv::Mat::zeros(cv::Size(1, nCount), CV_64FC1);
cv::Mat ax = cv::Mat::zeros(cv::Size(nCount, nCount), CV_64FC1);
fx에는 각 점들의 y값, ax에는 위에서 언급한 다항식 구조에 맞게 x의 값을 넣는다.
for (int i = 0; i < nCount; ++i) {
fx.at<double>(0, i) = pts[i].y;
for (int j = 0; j < nCount; ++j) {
ax.at<double>(j, i) = std::pow(pts[j].x, i);
}
}
fx = ax * params 이므로 inv_ax * fx = params이다.
(이때 inv_ax는 ax의 역행렬인데 역행렬이 존재하지 않을 수도 있기 때문에 특이값 분해(SVD, cv::DECOMP_SVD)를 이용하여 근사치를 구하게 된다.)
// params = ax^-1 * fx
cv::Mat inv_ax = cv::Mat::zeros(cv::Size(nCount, nCount), CV_64FC1);
cv::invert(ax, inv_ax, cv::DECOMP_SVD);
params = inv_ax * fx;
끝.
반응형
'수학' 카테고리의 다른 글
| 결합 확률, 조건부 확률 (Joint probability, Conditional probability) (0) | 2025.06.04 |
|---|---|
| 베이즈 정리 (Bayes Theorem) (0) | 2025.06.04 |
| [수학] 점과 직선사이의 거리 (0) | 2021.04.29 |
| [수학] 점의 회전변환(삼각함수) (2) | 2021.02.01 |
| [수학] 원 내부, 외부의 점 (0) | 2021.01.18 |