반응형

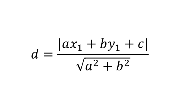
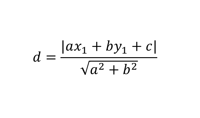
직선 ax+by+c=0 과 점 P(x1, y1)사이의 거리 d를 구하는 공식은 다음과 같다.

간단스...
반응형
'수학' 카테고리의 다른 글
| 베이즈 정리 (Bayes Theorem) (0) | 2025.06.04 |
|---|---|
| [수학] 다항함수 보간법(Polynomial Interpolation) (0) | 2021.05.17 |
| [수학] 점의 회전변환(삼각함수) (2) | 2021.02.01 |
| [수학] 원 내부, 외부의 점 (0) | 2021.01.18 |
| [수학] 두 직선의 교점 구하기 (0) | 2021.01.13 |